Apa itu Penguat Terbenam(Swamped Amplifier)
Pada rangkaian Penguat terbenam ada resistor yang dipasang pada bagian emitor transistor NPN. Membenamkan penguat akan mengurangi Voltage Gain. Ketika suatu penguat dibenamkan, Voltage gain nya menjadi kurang bergantung pada beban. Hal ini akan membantu menyeimbangkan output rangkaian dan melindungi rangkaian dari kerusakan ketika beban lain diberikan. Gambar 1 menunjukkan rangkaian penguat terbenam. ingat resistansi emiter d.c RE dibagi dua bagian RE1 dan RE2. Hanya saja yang membedakannya adalah RE2 dilewati oleh kapasitor CE sedangkan resistor RE1 tidak. Metode pembenaman ini meminimalisir efek dari re' pada Voltage gain tanpa mengurangi Voltage gain nya terlalu banyak. Sekarang total resistansi a.c. emiter adalah (re' + RE1), berbeda dengan dengan penguat CE standar yang hanya re'. Karena itu, Voltage gain dari penguat terbenam saat tidak ada beban menjadi :
Voltage gain, Av = Rc/re'+ RE1
Gambar 1
Jika RE1 besar atau sama dengan 10 re' , maka efek dari re' hampir tidak ada dan Voltage gain nya adalah ;
Av ~ Rc/Re
Efek membenamkan Zin (base)
Rumus Zin(base) ketika RE sepenuhnya dilewati adalah Zin(base) = β re'. Ketika resistansi emiter nya dilewati sebagian(partialy bypassed), bagian yang tidak terlewati(sebagai contoh RE1) terlihat sebagai sinyal a.c. dan terlihat terhubung seri dengan re' . maka, untuk penguat terbenam,
Zin (base) = β ( re′ + RE1)
Contoh Soal
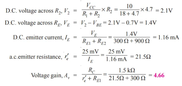
Contoh 1. Tentukan nilai Voltage gain (Av) dari penguat terbenam yang ditunjukkan pada gambar 1. Apa nilai Zin(base) dari rangkaian ini?
Jawab: Untuk mencari Voltage gain (Av), pertama-tama kita tentukan arus emiter D.C. IE lalu resistansi a.c. emiter re'. Nilai IE dapat ditentukan dari :
Impedansi input dari transistor base adalah:
Jawab:
(i) Impedansi input base transistor(Zin)base untuk kedua rangkaian
(ii) Impedansi input kedua rangkaian
Jawab:






